ブルー相の構造
前述のように二重ねじれは三次元空間を連続的につなぐことができないので、三次元にあえて拡張すると必ず欠陥が生じる。欠陥の発生はエネルギーを伴うので、系全体は不安定化する。その損失を上回る利得がなければ二重ねじれをもつ相は安定相とならない。その利得になり得るのがこの場合強いねじれ力である。ねじれ力が強くければ二重ねじれの安定性は高まり、さらに系が無秩序の等方相の温度に近づけば欠陥による損失は相対的に軽減され二重ねじれは形成されやすくなる。こうして、二重ねじれ配列をとることによる利得が欠陥の発生による損失を上回った結果できたのがブルー相である。ブルー相が、ピッチが短い、すなわち、ねじれ力の大きなキラルネマチック相において、等方相近傍の温度域に出現するのはこのためである。また、ブルー相は欠陥と共存する極めて特異な相である。
要するに、二重ねじれをとりたいというローカルな安定性と、空間を無欠陥でつなげたいというグローバルな安定性が拮抗状態にあり、前者が上回った場合にブルー相、後者が上回った場合にキラルネマチック相となる。ローカルな安定構造をとることが相互作用の競合を生み、グローバルな基底状態が一義的に決まらない系をフラストレーション系というが、ブルー相はまさにフラストレーション系であり、液晶相としては最初にフラストレート相(Frustrated phase)として位置づけられた。フラストレーション系としてはこの他に、磁性合金のスピングラス、遷移金属合金のFrank-Kasper相、超流体や超伝導体の渦格子、などがあり特異な性質を示すことが知られている。
図5は種々の実験結果と理論計算から導かれたブルー相I(図5(a), (b))とブルー相II(図5(c), (d))の構造である4),5),6)。ブルー相I、IIは、それぞれ、体心立方、単純立方の対称性を有している。図5(a),(c)の円柱は二重ねじれシリンダー、図5(b),(d)の太い黒線は欠陥線のディスクリネーションを表す。丸太を互いに直交させながら格子を組み上げたかのようなめずらしい構造を造っている。各二重ねじれシリンダー内で分子は径に沿って90度ねじれている(シリンダーの最外周ではシリンダー軸に対して45度に傾いており、端から端へ-45度から+45度ねじれている)。これは1/4ピッチに相当する(360度ねじれる長さが1ピッチ)。一本の二重ねじれシリンダーの直径は典型的には100 nm程度で、分子径を0.5 nm とすると約200個の分子が緩やかにねじれている計算になる。ブルー相Iの格子定数はねじれ1ピッチ、ブルー相IIは0.5ピッチに相当する。低温相のキラルネマチック相のピッチ長とはわずかにずれるのが一般的である。注目すべき点は、このような複雑な階層構造が分子のねじれ配列の繰り返しの結果から自己組織的に生まれることであろう。
図5ブルー相Iとブルー相IIの構造

ブルー相T(左)とブルー相U(右)における二重ねじれシリンダーの模型
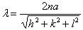
光回折においてブルー相Iは、長波長から(110)、(200)、(211)、・・・ブルー相IIにおいては、(100)、(110)、・・・面からの回折が現れ下式を満足する。
ここでl、n、aは、それぞれ入射波長、屈折率、格子定数を表す。h,k,lはミラー指数である。ブルー相Iの場合は、h+k+lが偶数となる。ブルー相Iの反射スペクトルの一例を図6に示す。キラルネマチック相と異なり複数の反射ピークが現れる。典型的なブルー相ではブルー相Iの(110)、(200)やブルー相IIの(100)からの回折光が青色の領域になり、目視で青色に見えるため、ブルー相と呼ばれるようになった。分子配列のフラストレーションで生ずるディスクリネーションは、二重ねじれシリンダー三本が直角に隣接するコーナーを突き通すように形成される。ディスクリネーションの配置の対称性もブルー相IとIIで、それぞれ、体心立方、単純立方となる。ディスクリネーションコアの直径は10 nm程度と見積もられ、内部は等方相のように分子の配列が無秩序と推測されている。
図6ブルー相Iの反射スペクトルと偏光顕微鏡写真
ブルー相IIIの存在も確認されているが、その構造はよりアモルファスで二重ねじれの近距離秩序のみが存在すると予想されているが、詳細はまだ不明である。
ブルー相の温度範囲の拡大
“They are totally useless, ・・・”、液晶の弾性理論で有名なFrankがブルー相についてこう述べたそうだ。学術的にはおもしろいが、実用的な使い道は期待できないという揶揄であろう。ブルー相の実用化への道を門前で阻んでいるのは、明らかにその発現温度範囲の狭さである。ブルー相の独特の特徴は魅力的ではあるが、使用可能な温度範囲が1℃程度では実用化という観点では議論の場にすら参加できない。近年、そのブルー相の温度範囲の問題を解決しようとする試みが積極的に行われるようになった。
先ず、1993年、Kitzerowらはブルー相を重合性液晶モノマーで形成し、ブルー相の構造を保ったままモノマーを重合することによりブルー相の構造を固定化した固体樹脂を作製した7)。このような材料ではブルー相の構造の特徴は維持されるが、分子はすべて重合されているので液晶としてのダイナミクスは失われてしまう。
著者らは、2002年にブルー相中で7〜8wt%の少量の高分子を形成させることで、ブルー相の温度範囲が数十℃以上に広がることを報告し、この系を「高分子安定化ブルー相」と呼んだ(図7)8)。高分子安定化ブルー相では分子のダイナミクスは失われておらず、電場印加に対して高速の電気光学応答を示す。ブルー相中で形成された高分子は、ディスクリネーションに濃縮され、ディスクリネーションの存在が熱的に安定化されることでブルー相が安定化されると考えられている。安定化のメカニズムについては議論の余地はあるが、仮説が正しいとすればフラストレーション系の不安定性を解消する新たなアプローチが見え始めるであろう。
図7高分子安定化ブルー相の相図と高分子の凝集状態の模式図。
2005年、吉澤らは、T字型液晶分子を合成し、ブルー相の温度域が13℃となることを見いだしている9)。T字型液晶分子の二軸性が作用しているとの推論を行っている。
また、2005年、Colesらは撓電性(flexoelectricity)の大きな二量体液晶において、ブルー相の温度範囲が44℃に広がることを報告している10)。撓電性がディスクリネーションを安定化していると考察している。この系では、電場印加によってブルー相の格子による回折波長が可逆的に変化するので応用上興味深い。
以上のように、ブルー相の温度範囲の狭さを解決する技術は近年急速に発展し、ブルー相が実用化に向けての土俵に上がれる時がようやく来たと言えよう。
ブルー相の応用
ブルー相は可視光波長オーダーの三次元周期構造を有しているため、フォトニクスとしての特性が期待できる。近年、フォトニック結晶と呼ばれる、可視光波長オーダーの屈折率の周期構造をもつ人工結晶が注目されており、その製造技術に関する研究・開発が盛んに行われている。ブルー相は三次元のフォトニック格子を自己組織的に形成する点において、微細加工によるトップダウン方式に対して優位性をもっている。Caoらは、ブルー相II内に蛍光色素を分散させ、パルス光で励起させることにより三次元方向にレーザー発振することを見いだし、ブルー相が三次元フォトニック特性を示すことを明らかにした11)。横山らは高分子安定化ブルー相を用い、ブルー相の格子構造に基づくレーザー発振が35℃に及ぶ広い温度範囲で起こることを示すとともに、キラルネマチック相を用いた場合に比べ低い発振しきい値と狭いライン幅をもつことを見いだした12)。このように、ブルー相のフォトニクスへの応用研究が2002年以降急速に進展している。
著者らは、高分子安定化ブルー相の高速電気光学効果を見いだし、表示素子や光学変調素子への応用に対する大きなポテンシャルを示した13)。従来、液晶表示素子は応答が遅い(ミリ秒オーダー)、配向処理が必要、視角依存性が大きい、などの問題を抱えていたが、高分子安定化ブルー相は応答が早く(10〜100μ秒)、光学的等方性であるため配向処理が不要、同じ理由で視角依存性が小さい、などの利点を有している。課題となっている駆動電圧の高さを克服できれば、実用化への可能性は一気に高まるであろう。
参考文献
- G. W. Gray, J. Chem. Soc., 3733-3739(1956).
- A. Saupe, Mol. Cryst. Liq. Cryst., 7, 59-74(1969).
- D. Coate and G. W. Gray, Phys. Lett., 45A, 115(1973).
- S. Meiboom, J. P. Sethna, P. W. Anderson, W. F. Brinkman, Phys. Rev. Lett., 46, 1216(1981).
- D. C. Wright and N. D. Mermin, Rev. Modern Phys., 61, 385(1989).
- P. P. Crooker, Chirality in Liquid Crystals, H. S. Kitzerow and C. Bahr(Eds), Springer-Verlag, New York(2001).
- H. S. Kitzerow, H. Schmid, A. Ranft, G. Heppke, R. A. M. Hikmet, J. Lub, Liq. Cryst., 14, 911-916(1993).
- H. Kikuchi, M. Yokota, Y. Hisakado, H. Yang and T. Kajiyama, Nature Materials. 1, 64 (2002).
- A. Yoshizawa, M. Sato, J. Rokunohe, J. Mater. Chem., 15, 3285-3290(2005).
- H. J. Coles and M. N. Pivnenko, Nature, 436, 997-1000(2005).
- W. Cao, A. Munoz, P. Palffy-Muhoray, and B. Taheri, Nature Mater. 1, 111 (2002).
- S. Yokoyama, S. Mashiko, H. Kikuchi, K. Uchida, and T. Nagamura, Adv. Mater., 18, 48-51(2006).
- Y. Hisakado, H. Kikuchi, T. Nagamura, Adv. Mater., 17, 96 (2005).









